本文最后更新于 1681 天前,其中的信息可能已经有所发展或是发生改变。
思路
这题的解法有些独特,可能是我太久没接触几何相关的问题了,要是放在初中,应该还是能想出来。
两个链表都需要遍历,很容易想到双指针。先考虑简单情况,假如两个链表长度相等。双指针同时往前走,每走一步判断下是否相等。

假如链表长度不等,双指针同时往前走就不行了,即使调整速度也不好使。我们的目的是判断两个指针是否相等,链表相交部分长度是相等的,如果末端能对齐就好了。

一长一短如何才能对齐呢?答案是再搞个一短一长拼起来。

问题
给你两个单链表的头节点 headA 和 headB ,请你找出并返回两个单链表相交的起始节点。如果两个链表没有交点,返回 null 。
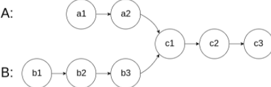
图示两个链表在节点 c1 开始相交:

题目数据 保证 整个链式结构中不存在环。
注意,函数返回结果后,链表必须 保持其原始结构 。
示例 1:

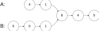
输入:intersectVal = 8, listA = [4,1,8,4,5], listB = [5,0,1,8,4,5], skipA = 2, skipB = 3 输出:Intersected at '8' 解释:相交节点的值为 8 (注意,如果两个链表相交则不能为 0)。 从各自的表头开始算起,链表 A 为 [4,1,8,4,5],链表 B 为 [5,0,1,8,4,5]。 在 A 中,相交节点前有 2 个节点;在 B 中,相交节点前有 3 个节点。
示例 2:

输入:intersectVal = 2, listA = [0,9,1,2,4], listB = [3,2,4], skipA = 3, skipB = 1 输出:Intersected at '2' 解释:相交节点的值为 2 (注意,如果两个链表相交则不能为 0)。 从各自的表头开始算起,链表 A 为 [0,9,1,2,4],链表 B 为 [3,2,4]。 在 A 中,相交节点前有 3 个节点;在 B 中,相交节点前有 1 个节点。
示例 3:

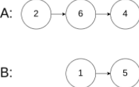
输入:intersectVal = 0, listA = [2,6,4], listB = [1,5], skipA = 3, skipB = 2 输出:null 解释:从各自的表头开始算起,链表 A 为 [2,6,4],链表 B 为 [1,5]。 由于这两个链表不相交,所以 intersectVal 必须为 0,而 skipA 和 skipB 可以是任意值。 这两个链表不相交,因此返回 null 。
提示:
listA中节点数目为mlistB中节点数目为n0 <= m, n <= 3 * 1041 <= Node.val <= 1050 <= skipA <= m0 <= skipB <= n- 如果
listA和listB没有交点,intersectVal为0 - 如果
listA和listB有交点,intersectVal == listA[skipA + 1] == listB[skipB + 1]
进阶:你能否设计一个时间复杂度 O(n) 、仅用 O(1) 内存的解决方案?
Related Topics
代码
public ListNode getIntersectionNode(ListNode headA, ListNode headB) {
if (headA == null || headB == null) {
return null;
}
ListNode res = null;
ListNode p1 = headA;
ListNode p2 = headB;
boolean concat1 = false;
boolean concat2 = false;
while (true) {
if (p1 == null) {
// 已经连接过
if (concat1) {
break;
} else {
// 连接链表
p1 = headB;
concat1 = true;
}
}
if (p2 == null) {
if (concat2) {
break;
} else {
p2 = headA;
concat2 = true;
}
}
// 相交了
if (p1 == p2) {
res = p1;
break;
}
p1 = p1.next;
p2 = p2.next;
}
return res;
}




