本文最后更新于 1690 天前,其中的信息可能已经有所发展或是发生改变。
思路
龟兔赛跑的套路,使用快慢指针,相遇即有环。
注意:是慢指针正常速度,快指针两倍速度。不是快指针正常速度,慢指针1/2速度。不然会超时
题目
给定一个链表,判断链表中是否有环。
如果链表中有某个节点,可以通过连续跟踪 next 指针再次到达,则链表中存在环。 为了表示给定链表中的环,我们使用整数 pos 来表示链表尾连接到链表中的位置(索引从 0 开始)。 如果 pos 是 -1,则在该链表中没有环。注意:pos 不作为参数进行传递,仅仅是为了标识链表的实际情况。
如果链表中存在环,则返回 true 。 否则,返回 false 。
进阶:
你能用 O(1)(即,常量)内存解决此问题吗?
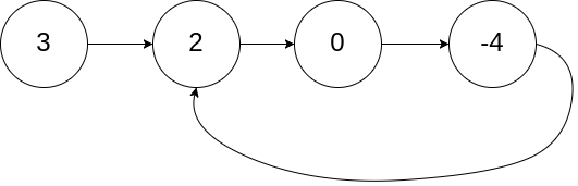
示例 1:

输入:head = [3,2,0,-4], pos = 1 输出:true 解释:链表中有一个环,其尾部连接到第二个节点。
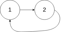
示例 2:

输入:head = [1,2], pos = 0 输出:true 解释:链表中有一个环,其尾部连接到第一个节点。
示例 3:

输入:head = [1], pos = -1 输出:false 解释:链表中没有环。
提示:
- 链表中节点的数目范围是
[0, 104] -105 <= Node.val <= 105pos为-1或者链表中的一个 有效索引 。
Related Topics
代码
public boolean hasCycle(ListNode head) {
ListNode fast = head;
ListNode slow = head;
do {
// 快指针走到末端,说明没有循环
if (fast == null || fast.next == null) {
return false;
}
// 指针后移
fast = fast.next.next;
slow = slow.next;
} while (fast != slow);
// 慢指针追上快指针,说明出现了循环
return true;
}




